fisika-atom-teori-model-atom-thomson-rutherford-bohr-bilangan-kuantum-asas-pauli-energi-ionisasi-afinitas-elektron-contoh-soal-rumus-jawaban" target="_blank">Fisika Atom, Teori Model Atom Thomson Rutherford Bohr, Bilangan Kuantum, Asas Pauli, Energi Ionisasi, Afinitas Elektron, Proton, Neutron, Rumus, Contoh Soal, Jawaban, Gambar, Praktikum - Perkembangan teori atom dimulai saat seorang filsuf Yunani, Democritus, mengemukakan bahwa setiap bahan tersusun oleh partikel-partikel kecil yang tidak sanggup dibagi-bagi lagi yang disebut “atom”. Atom berasal dari kata a yang berarti “tidak” dan tomos yang berarti “terbagi”. Pada tahun 1803, John Dalton (1766 - 1844) melaksanakan percobaan dan menemukan teori mengenai atom. Teori atom Dalton mengemukakan bahwa atom ialah pecahan terkecil dari suatu zat yang sudah tidak sanggup dibagi-bagi lagi.
Pernyataan ini dibantah oleh J.J. Thomson, yang melalui percobaan sinar katoda berhasil mengambarkan bahwa teori Dalton tersebut salah. Pada pecahan ini akan dibahas mengenai perkembangan model atom yang dikemukakan ahli-ahli fisika untuk meninjau kelemahan teori Dalton, jadi merupakan penyempurnaan teori atom sebelumnya.
1. Teori Model Atom
1.1. Model Atom Thomson
Seperti yang telah diungkapkan bahwa Thomson (1856 - 1940) berhasil mengambarkan bahwa teori atom Dalton salah. Melalui percobaannya, ia menemukan bahwa ada pecahan dari zat yang lebih kecil dari atom, yaitu elektron. Selanjutnya, pada tahun 1904, Thomson menggambarkan model atom sebagai sebuah bola bermuatan positif dengan elektron tersebar merata ke seluruh isi atom. Model atom Thomson ini dikenal dengan istilah model atom roti kismis.
![]() |
| Gambar 1. Model atom Thomson, menyerupai roti kismis. |
Thomson menarik kesimpulan bahwa suatu model atom harus memenuhi dua hal berikut ini.
a. Sebuah atom harus netral, yaitu jumlah muatan positif (proton) harus sama dengan jumlah muatan negatif (elektron).
b. Sebagian besar massa atom terdapat pada muatan positifnya.
1.2. Model Atom Rutherford
Model atom Thomson jadinya diuji oleh Ernest Rutherford (1871 - 1937) (Gambar 9.2). Dia melaksanakan percobaan dengan menembakkan partikel alfa pada lempeng emas yang sangat tipis dengan ukuran 0,01 mm atau kira-kira setebal 2.000 atom. Ternyata, partikel alfa itu tidak seluruhnya menembus secara lurus, artinya beberapa di antaranya terhambur atau dibelokkan membentuk sudut antara 90o hingga 120o.
![]() |
| Gambar 2. Model atom Rutherford. Credit : Encyclopædia Britannica, Inc. [1] |
Apabila model atom Thomson benar, partikel alfa tersebut seharusnya melintas lurus (tidak dibelokkan). Karena massa dan energi partikel alfa jauh lebih besar daripada elektron dan proton dalam atom, sehingga lintasannya tidak terganggu oleh elektron dan proton dalam atom.
![]() |
| Gambar 3. Skema percobaan Geiger dan Marsden. |
Gambar 3. memperlihatkan percobaan yang dilakukan oleh Geiger dan Marsden (1911). Berdasarkan percobaan tersebut, Rutherford mengemukakan suatu model atom berikut ini.
a. Sebuah atom terdiri atas inti bermuatan positif yang terletak di tengah/pusat.
b. Inti atom dikelilingi elektron yang dipengaruhi oleh gaya tarik-menarik, yang disebut gaya Coulomb sebesar:
Gaya Coulomb tersebut diimbangi oleh gaya sentripetal sebesar:
Jadi, elektron berputar pada lintasan tertentu, menyerupai perputaran planet-planet yang mengelilingi sentra tata surya.
c. Atom bersifat netral, yaitu jumlah proton sama dengan jumlah elektron yang mengelilingi inti.
![]() |
| Gambar 4. Gaya Coulomb dan gaya sentrifugal dalam atom hidrogen. |
Di sisi lain, model atom Rutherford mempunyai kelemahan berikut ini.
a. Elektron yang berputar mengelilingi inti dianggap sebagai getaran listrik yang memancarkan gelombang elektromagnetik (energi). Jika energi berkurang, maka lintasan makin kecil, tetapi elektron tersebut tidak melekat pada inti. Hal ini memperlihatkan bahwa model atom Rutherford tidak sanggup menjelaskan kestabilan atom.
b. Jika lintasan makin kecil, periode putaran elektron juga makin kecil. Frekuensi gelombang bermacam-macam, sehingga spektrum yang dipancarkan seharusnya berupa spektrum diskontinu. Pada kenyataannya, pada atom hidrogen bertentangan dengan pengamatan spektrometer wacana atom hidrogen.
1.3. Spektrum Atom Hidrogen
Gas hidrogen ditempatkan dalam sebuah tabung lucutan gas yang diberi beda potensial tinggi sehingga terjadi lucutan muatan listrik. Gas hidrogen menjadi bercahaya dan memancarkan cahaya merah kebirubiruan. Cahaya ini sanggup dianalisis oleh spektrograf. Kita sanggup mengamati gugusan garis-garis cahaya Pada pelat foto. Setiap garis menampilkan sebuah panjang gelombang cahaya yang diberikan oleh sumber cahaya.
![]() |
| Gambar 5. Spektrum matahari, hidrogen, helium, air raksa, dan uraniaum. [2] |
Gambar 5. memperlihatkan spektrum garis yang diperoleh dalam kawasan cahaya tampak. Spektrum garis dalam cahaya tampak terdiri atas empat garis, yaitu 410,2 nm; 434,1 nm; 486,2 nm; dan 656,3 nm.
Pada tahun 1885, J.J Balmer menemukan bahwa panjang gelombang tersebut sanggup ditampilkan dalam satu rumus tunggal, yang menyatakan deret garis-garis dalam spektrum radiasi yang dipancarkan oleh atom hidrogen tereksitasi. Garis-garis ini menyatakan lintasan elektron yang jatuh dari tingkat energi lebih tinggi ke lintasan elektron dengan tingkat energi lebih rendah, sambil memancarkan gelombang elektromagnetik sebagai radiasi foton. Deret ini juga disebut sebagai deret yang sempurna memancarkan cahaya tampak. Panjang gelombang deret ini dirumuskan:
dengan R menyatakan konstanta Rydberg yang besarnya 1,097 × 107 m-1dan n = 3, 4, 5, 6, ... .
Pada Gambar 5. memperlihatkan deret Balmer spektrum hidrogen pada beberapa panjang gelombang. Panjang gelombang terpanjang ialah pada 656,3 nm dan panjang gelombang terpendek deret Balmer ialah 364,6 nm.
Deret Balmer bukanlah satu-satunya spektrum garis yang dihasilkan atom-atom hidrogen. Deret yang diperoleh dalam kawasan ultra ungu dengan batas panjang gelombang antara 121,6 nm dan 91,2 nm ialah deret Lyman.
Adapun yang ditemukan dalam kawasan inframerah, ialah Paschen, Bracket, dan Pfund. Secara umum rumus deret dinyatakan sebagai:
Untuk deret Lyman, n = 1; Balmer n = 2; Paschen n = 3; Bracket n = 4; dan Pfund n = 5, sehingga secara umum sanggup dituliskan berikut ini.
a. Deret Lyman (deret ultra ungu)
b. Deret Balmer (deret cahaya tampak)
c. Deret Paschen (deret inframerah I)
d. Deret Bracket (deret inframerah II)
e. Deret Pfund (deret inframerah III)
Contoh Soal 1 :
Tentukan panjang gelombang terpanjang dan terpendek deret Balmer atom hidrogen kalau konstanta Rydberg R = 1,097 × 107 m-1!
Penyelesaian:
Panjang gelombang terpanjang terjadi kalau elektron mengalami transisi dari kulit n = 3 ke n = 2. Sesuai dengan persamaan (4) diperoleh:
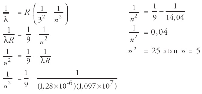
Contoh Soal 2 :
Spektrum deret Paschen menghasilkan panjang gelombang 1,28 × 10-6 m. Tentukan nilai n pada deret Paschen tersebut, kalau konstanta Rydberg R = 1,097 × 107 m-1!
Penyelesaian:
Pada deret Paschen berlaku:
1.4. Model Atom Bohr
Teori atom Bohr wacana atom dilandasi oleh teori atom Rutherford dan Max Planck. Dalam teori atomnya, Bohr menyatakan bahwa elektron yang mengelilingi inti atom berada pada lintasan atau orbit tertentu yang disebut orbit stabil atau orbit kuantum.
![]() |
| Gambar 6. Model atom Bohr. |
Bohr mengaitkan konsep energi dengan gerak elektron dan mendasarkan teorinya pada dua postulat berikut ini.
a. Elektron mengelilingi inti dengan lintasan atau orbit tertentu. Berdasarkan teori mekanika kuantum, benda yang bergerak beraturan dengan orbit tertentutidak akan membebaskan energi kalau keliling lintasannya merupakan bilangan bundar dari panjang gelombang de Broglie, dengan momentum anguler sebesar:
dengan n ialah bilangan bundar (n = 1, 2, 3, .......) yang menyatakan bilangan kuantum, h ialah tetapan Planck, m ialah massa elektron, dan r ialah jari-jari lintasan.
b. Elektron sanggup berpindah dari tingkat energi satu ke tingkat energi yang lain. Tingkat energi pada tiap lintasan elektron ialah berbeda-beda. Elektron yang paling bersahabat dengan inti (n = 1) mempunyai tingkat energi yang paling rendah.
Jika elektron berpindah ke lintasan yang lebih bersahabat dari inti (ke tempat energi yang rendah), akan melepaskan (memancarkan) energi foton sebesar hf. Sebaliknya, kalau elektron berpindah ke tingkat energi yang lebih tinggi akan menyerap energi.
![]() |
| Gambar 7. Loncatan elektron dari satu orbit ke orbit lainnya. |
Bohr beranggapan bahwa suatu elektron tunggal dengan massa m bergerak dalam lintasan orbit berbentuk lingkaran dengan jari-jari r, dan kecepatan v, mengelilingi inti bermuatan positif. Keadaan ini memperlihatkan adanya keseimbangan antara gaya Coulomb pada persamaan (1) dan gaya sentripetal pada persamaan (2).
sehingga diperoleh:
Dari persamaan (9) dan (10) akan diperoleh jari-jari lintasan elektron berikut ini.
untuk n = 1 diperoleh nilai r = 5,3 × 10-9 cm = 0,53 yang disebut jari-jari Bohr (Bohr radius).
Energi tiap lintasan elektron merupakan jumlah dari energi kinetik dan energi potensialnya.
Berdasarkan nilai r pada persamaan (11) maka energi elektron pada persamaan (12) menjadi:
sehingga diperoleh:
dengan n ialah tingkat energi.
Model atom Bohr juga mempunyai kelemahan-kelemahan berikut ini.
a. Lintasan elektron ternyata rumit sekali, masih terdapat beberapa suborbit yang tidak sanggup dijelaskan dengan teori Bohr.
b. Teori atom Bohr sanggup menerangkan model atom hidrogen, tetapi tidak sanggup menerangkan atom berelektron banyak lantaran sulit perhitungannya.
c. Tidak sanggup menerangkan proses ikatan kimia.
d. Tidak sanggup menerangkan efek medan magnet terhadap spektrum atom.
2. Tingkat Energi
Tingkat energi menjelaskan mengenai energi tetap tertentu yang sanggup dimiliki suatu sistem yang dijelaskan oleh mekanika kuantum, menyerupai yang sanggup dimiliki oleh molekul, atom, elektron, atau inti. Misalnya, sebuah atom mempunyai energi tetap sesuai dengan orbital tempat elektron bergerak mengelilingi inti atom. Atom ini sanggup mendapatkan suatu kuantum energi sehingga menjadi sebuah atom tereksitasi.
Eksitasi memperlihatkan suatu proses yang terjadi saat sebuah inti, elektron, atom, ion, atau molekul memperoleh energi yang memindahkannya ke suatu keadaan kuantum (keadaan tereksitasi) yang lebih tinggi dari keadaan dasarnya. Antara keadaan dasar (ground state), yaitu energi terendah yang mungkin untuk suatu sistem tertentu, dan keadaan tereksitasi pertama tidak ditemukan tingkat energi yang terijinkan (daerah terlarang).
![]() |
| Gambar 8. Diagram tingkat energi elektron atom hidrogen. |
Beberapa energi yang dilepas atau diserap elektron saat berpindah dari tingkat nA ke tingkat nB dapat ditentukan dengan persamaan (14) yaitu:
ΔE = EnB – EnA
Contoh Soal 3 :
Elektron atom hidrogen berada pada orbit Bohr n = 2. Jika k = 9 × 109 Nm2/c2, dengan e = 1,6 × 10-19 C, me = 9,1 × 10-31 kg, tentukan:
a. jari-jari orbit,
b. gaya elektrostatik yang bekerja pada elektron,
c. kelajuan elektron!
Penyelesaian:
a. Jari-jari orbit (rn)
rn = 0,53 . n2 = (0,53)(22) = 2,12
b. Gaya elektrostatik yang bekerja pada elektron (FC)
c. Kelajuan elektron (ve)
Contoh Soal 4 :
Sebuah elektron berpindah lintasan dari n = 2 ke n = 1 dengan memancarkan energi. Tentukan:
a. energi foton yang dipancarkan,
b. frekuensi foton,
c. panjang gelombang foton!
Penyelesaian:
a. Energi foton yang dipancarkan
ΔE = -1,632 × 10-18 joule (tanda (-) menyatakan pemancaran energi)
b. Frekuensi foton (f )
c. Panjang gelombang foton
3. Bilangan Kuantum
Struktur elektrolit suatu atom mengacu pada cara elektron tersusun di sekeliling inti, dan terutama pada tingkat energi tertentu yang ditempati atom tersebut. Suatu bilangan yang memperlihatkan orbit elektron mengelilingi inti pada kulit atau tingkat energi tertentu disebut bilangan kuantum (quantum number). Setiap elektron sanggup digolongkan berdasarkan empat bilangan kuantum yang akan diuraikan berikut ini.
![]() |
| Gambar 9. Satu elektron memungkinkan gerak putar ke kanan ½ dan ke kiri ½. |
3.1. Bilangan Kuantum Utama (n)
Bilangan ini menyatakan tingkat energi utama dan mempunyai nilai 1, 2, 3 dan seterusnya. Semakin besar nilai n, maka semakin jauh letak elektron dari inti. Tingkat energi ataupun orbit yang sesuai dengan tingkat energi tersebut dinyatakan sebagai kulit dan dinyatakan dengan abjad K, L, M, N, ... . Kulit K (n = 1) ialah kulit yang letaknya paling bersahabat dengan inti. Jumlah elektron dalam kulit ialah 2n2.
3.2. Bilangan Kuantum Orbital (l)
Bilangan ini memilih nilai momentum sudut suatu elektron, dan memperlihatkan di subkulit (sublintasan) tempat pergerakan elektron terjadi. Nilai l tergantung pada nilai bilangan kuantum utama n. Untuk nilai n tertentu, l mempunyai nilai bilangan bundar yang mungkin dari 0 hingga (n-1). Bila n = 1, hanya ada satu nilai l yang mungkin, yaitu l = n – 1 = 1 – 1 = 0. Bila n = 2 ada dua nilai l, 0 dan 1. Bila n = 3, ada tiga nilai l, yaitu 0, 1, 2.
Subkulit l = 0 disebut subkulit s (sharp), subkulit l = 1 ialah p (principle), subkulit l = 2 disebut d (diffuse), dan subkulit l = 3 disebut f (fundamental). Jadi, bila l = 0, kita mempunyai sebuah orbital s, bila l = 1 kita mempunyai orbital p, dan seterusnya.
Sekumpulan orbital-orbital dengan nilai n yang sama seringkali disebut kulit. Satu atau lebih orbital dengan nilai n dan l yang sama dirujuk selalu subkulit. Misalnya, kulit dengan n = 2 terdiri atas 2 subkulit, l = 0 dan 1. Subkulit-subkulit ini disebut subkulit 2s dan subkulit 2p di mana 2 melambangkan nilai n, serta s dan p melambangkan nilai l.
Besar momentum sudut elektron dinyatakan:
3.3. Efek Zeeman
Bilangan kuantum orbital muncul lantaran teramatinya imbas Zeeman. Pieter Zeeman (1865 - 1943) pada tahun 1896 mengamati suatu tanda-tanda terpisahnya garis-garis dalam suatu spektrum bila sumber spektrum dipaparkan pada medan magnet. Garis spektrum cahaya terjadi bila elektron-elektron dalam atom berubah dari tingkat energi yang satu ke tingkat energi yang lain. Pada imbas Zeeman normal, satu garis tunggal pecah menjadi tiga garis bila arah medan tegak lurus lintasan cahaya, atau pecah menjadi dua garis bila arah medan sejajar lintasan cahaya. Gejala ini sanggup diterangkan dengan prinsip elektromagnetik klasik, yaitu gerakan elektron orbital di dalam sumber yang menjadi semakin cepat atau semakin lambat akhir efek medan yang bekerja.
3.4. Bilangan Kuantum Magnetik (m)
Bilangan kuantum ini memilih orientasi dari orbit elektron dalam medan magnet. Nilai ml yang mungkin yaitu -l, -(l - 1), ..., -1, 0, 1, ..., (l - 1), + l. Di subkulit s (yaitu bila l = 0) nilai ml = 0. Di subkulit p (yaitu bila l = 1) nilai ml yang mungkin ialah +1, 0, dan -1, jadi ada tiga orbital p pada subkulit p, yang biasanya dibedakan dengan px, py, dan pz. Dalam keadaan normal, ketiga orbital ini mempunyai tingkat energi yang sama. Dalam setiap nilai bilangan kuantum orbital (l) mempunyai nilai bilangan kuantum magnetik (ml) sebanyak (2l +1). Bilangan kuantum magnetik (ml ) merupakan proyeksi vektor l pada suatu sumbu z sembarang menyerupai yang dijelaskan oleh Gambar 10.
![]() |
| Gambar 10. m sebagai proyeksi l pada sumbu z. |
Elektron dalam suatu atom dengan momentum sudut tertentu sanggup berinteraksi dengan medan magnetik luar. Bila arah medan magnetik luar ialah sejajar dengan sumbu z, maka nilai L dalam arah z memenuhi persamaan:
Contoh Soal 5 :
Jika bilangan kuantum orbital l = 3, tentukanlah:
a. besar momentum sudut elektron yang mungkin,
b. momentum sudut elektron dalam arah sumbu z!
Penyelesaian:
Bilangan kuantum magnetik ml yang mungkin untuk l = 3
ml = -3, -2, -1, 0, 1, 2, 3
a. Besar momentum sudut elektron untuk l = 3
b. Momentum sudut elektron dalam arah sumbu z untuk:
ml = -3 → Lz = (-3) ħ = -3
ml = -2 → Lz = (-2) ħ = -2
ml = -1 → Lz = (-1) ħ = - ħ
ml = 0 → Lz = (-0) ħ = 0
ml = 1 → Lz = (1) ħ = ħ
ml = 2 → Lz = (2) ħ = 2
ml = 3 → Lz = (3) ħ = 3
3.5. Bilangan Kuantum Spin (s)
Bilangan kuantum ini memperlihatkan citra wacana arah putaran elektron pada sumbunya sendiri. Nilai bilangan kuantum spin yang mungkin ialah + ½ atau - ½ (kemungkinan putar kanan = ½ dan kemungkinan putar kiri = ½) .
![]() |
| Gambar 11. Spin elektron (a) searah jarum jam (b) berlawanan arah dengan jarum jam. |
Gambar 11. memperlihatkan dua kemungkinan gerak spin elektron, yang satu searah jarum jam dan satunya berlawanan dengan arah jarum jam.
Contoh Soal 6 :
Berapa jumlah maksimum elektron yang mungkin terdapat pada tingkat utama di mana n = 3?
Penyelesaian:
Untuk n = 3, maka l = 0, 1, dan 2. Jumlah orbital untuk tiap nilai l adalah:
Nilai l | Jumlah Orbital (2l + 1) |
0 | 1 |
1 | 3 |
2 | 5 |
Jumlah orbital ialah 9, jumlah maksimum elektron yang sanggup berada pada orbital-orbital ini adalah 2n2 = 2(3)2 = 18.
4. Asas Pauli
Prinsip larangan Pauli dikemukakan pada tahun 1925 oleh Wolfgang Pauli (1900 - 1958), yang menyatakan bahwa mustahil ada dua elektron yang mempunyai empat bilangan kuantum sama. Dalam hal ini, dua buah elektron sanggup mempunyai bilangan kuantum n, l, dan m yang sama, tetapi bilangan kuantum s mustahil sama lantaran yang mungkin ½ atau - ½. Sehingga, setiap orbital sanggup diisi oleh maksimal dua elektron (sepasang elektron).
"Pada konfigurasi elektron He, 1s2 dibaca 1 s dua buka 1 s kuadrat"
Asas Pauli memilih banyaknya elektron pada masing-masing kulit dan subkulit. Misalnya, untuk n = 2, kemungkinan nilai l ada dua, yaitu l = 0 dan l = 1. Dengan l = 0, hanya ada satu kemungkinan nilai m yaitu m = 0 yang mempunyai dua kemungkinan nilai s yaitu s = + ½ dan s = - ½. Dengan demikian, kulit L di subkulit s hanya ada dua elektron saja. Di subkulit p, yaitu dengan l = 1, ada tiga kemungkinan nilai m, yaitu m = -1, m = 0, dan m = 1, yang masing-masing mempunyai dua kemungkinan nilai s. Jadi, di subkulit p terdapat 6 elektron, sehingga di kulit L itu terdapat 8 elektron. Pada umumnya, subkulit p di kulit n = 2, ditulis sebagai 2p, dan seterusnya. Tabel 1. memperlihatkan konfigurasi elektron-elektron atom pada beberapa unsur.
Tabel 1. Konfigurasi elektron-elektron atom pada beberapa unsur
Banyak elektron | Konfigurasi Elektron | |
Hidrogen (H) | 1 | 1s1 |
Helium (He) | 2 | 1s2 |
Litium (Li) | 3 | 1s2 |
Berilium (Be) | 4 | 1s2 2s2 |
Boron (B) | 5 | 1s2 2s2 |
Karbon (C) | 6 | 1s2 2s2 2p2 |
Nitrogen (N) | 7 | 1s2 2s2 |
Oksigen (0) | 8 | 1s2 2s2 2p4 |
Fluorin (F) | 9 | 1s2 2s2 |
Neon (Ne) | 10 | 1s2 2s2 2p6 |
Natrium (Na) | 11 | 1s2 2s2 2p6 |
Magnesium (Mg) | 12 | 1s2 2s2 2p6 3s2 |
Aluminium (Al) | 13 | 1s2 2s2 2p6 3s2 3p1 |
Silikon (Si) | 14 | 1s2 2s2 2p6 3s2 3p2 |
Fosfor (P) | 15 | 1s2 2s2 2p6 3s2 3p2 |
Sulfur (S) | 16 | 1s2 2s2 2p6 3s2 3p4 |
Klorin (Cl) | 17 | 1s2 2s2 2p6 3s2 3p5 |
Argon (Ar) | 18 | 1s2 2s2 2p6 3s2 3p6 |
Kalium (K) | 19 | 1s2 2s2 2p6 3s2 3p6 |
Kalsium (Ca) | 20 | 1s2 2s2 2p6 3s2 3p6 3d2 |
5. Energi Ionisasi dan Afinitas Elektron
Sifat-sifat kimia setiap atom ditentukan oleh konfigurasi elektron valensi atom tersebut. Kestabilan elektron terluar ini tercermin secara eksklusif pada energi ionisasi atom tersebut. Energi ionisasi ini ialah energi minimum yang dibutuhkan untuk memindahkan atau melepaskan satu elektron atom pada keadaan dasarnya.
Bentuk ikatan kimia berasal dari pemindahan elektron-elektron, sehingga energi yang dibutuhkan untuk memindahkan elektron ialah ukuran yang sangat penting dalam pembentukan sebuah ikatan atom.
Besarnya energi ionisasi merupakan ukuran perjuangan yang dibutuhkan untuk memaksa satu atom untuk melepaskan elektronnya, atau seberapa erat elektron terikat dalam atom. Makin besar energi ionisasi, makin sukar untuk melepaskan elektronnya.
Pada tabel periodik unsur, banyak sekali macam radiasi atom yang mempunyai atom kecil secara khas mempunyai energi ionisasi yang tinggi, dan atom yang besar mempunyai energi ionisasi yang kecil. Dengan demikian, elemen dengan energi ionisasi terendah ditemukan di tabel kiri periode yang lebih rendah, dan energi ionisasi tertinggi ditemukan di tabel sebelah kanan atas. Variasi dari energi ionisasi bekerjasama dengan variasi radius atom, lantaran valensi elektron dalam atom yang besar rata-rata jauh dari inti, maka daya tariknya sangat lemah. Sebaliknya, valensi elektron dalam atom yang kecil bersahabat dengan sumber inti, maka daya tariknya kuat.
![]() |
| Gambar 12. Hubungan energi ioniasasi pertama terhadap nomor atom. |
Gambar 12. memperlihatkan keperiodikan dalam kestabilan elektron yang terlihat paling lemah. Satu keistimewaan yang terlihat pada Gambar 12. ialah puncak-puncak yang berkaitan dengan gas mulia. Energi ionisasi yang sangat tinggi bersesuaian dengan fakta bahwa hampir semua gas mulia tidak reaktif secara kimia. Pada kenyataannya, helium mempunyai energi ionisasi pertama tersebar di antara semua unsur.
![]() |
| Gambar 13. Plot afinitas elektron terhadap nomor atom untuk 56 unsur pertama. |
Sifat lain yang menghipnotis pembentukan ikatan ialah kemampuannya untuk mendapatkan satu atau lebih elektron. Kemampuan ini disebut afinitas elektron. Afinitas elektron positif berarti bahwa energi dilepaskan saat satu elektron ditambahkan ke suatu atom, dan negatif saat satu elektron diterima oleh atom suatu unsur. Afinitas yang bernilai besar dan positif berarti bahwa ion negatifnya sangat stabil, yaitu atom tersebut mempunyai kecenderungan besar lengan berkuasa untuk mendapatkan elektron, menyerupai energi ionisasi suatu atom yang tinggi yang berarti bahwa atom itu sangat stabil.
Praktikum Sederhana Fisika Atom :
Tujuan : Memahami perkembangan teori atom.
Teori atom Dalton menyatakan bahwa atom ialah partikel terkecil suatu bahan yang tidak sanggup dibagi lagi. Beberapa ilmuwan melaksanakan percobaan lebih lanjut untuk memperlihatkan bahwa atom bukanlah sesuatu yang tidak terbagi, melainkan terdiri atas beberapa jenis partikel subatom. Dalam atom terdapat partikel dasar, yaitu elektron, proton, dan neutron. Tugas kalian ialah mencari artikel dari beberapa literatur berupa artikel, hasil telaah atau yang lainnya, kemudian pelajari, dan buatlah laporan tertulis yang berisi rangkuman yang membahas struktur atom berdasarkan beberapa ilmuwan, yang menyatakan bahwa proton dan neutron terdapat dalam inti atom, sedangkan elektron berputar mengelilingi inti. Presentasikan laporan kalian di depan kelas!
6. Melihat Baru Percaya
Ukuran atom sangatlah kecil apabila dibandingkan dengan gelombang cahaya. Oleh lantaran itu, mikroskop optik biasa tidak bisa melihat sebuah atom. Yang tampak hanyalah gambar kabur jutaan atom bersama-sama. Mikroskop gaya atom atau AFM (atomic force microscope) tidak memakai cahaya. Yang digunakannya ialah sebuah alat perunut tajam yang sanggup digerakkan maju dan mundur pada permukaan sebuah sampel, merunut awan elektron di seputar setiap atom. Hasilnya gambar-gambar atom sanggup ditampilkan melalui sebuah monitor komputer.
| Gambar 14. Gambar AFM. (3) |
Gambar di atas ialah gambar AFM yang dibentuk komputer pada permukaan sepotong kaca. Setiap wilayah yang naik merupakan satu atom silikon atau oksigen.
Anda kini sudah mengetahui Fisika Atom. Terima kasih anda sudah berkunjung ke Perpustakaan Cyber.
Referensi :
Budiyanto, J. 2009. Fisika : Untuk SMA/MA Kelas XII. Pusat Perbukuan, Departemen Pendidikan Nasional, Jakarta. p. 298.
Referensi Lainnya :
[1] http://global.britannica.com/EBchecked/topic/514258/Rutherford-atomic-model
[2] http://library.thinkquest.org/19662/images/eng/pages/model-bohr-3.jpg
[3] http://en.wikipedia.org/wiki/File:AFMimageRoughGlass20x20.JPG
Referensi Lainnya :
[1] http://global.britannica.com/EBchecked/topic/514258/Rutherford-atomic-model
[2] http://library.thinkquest.org/19662/images/eng/pages/model-bohr-3.jpg
[3] http://en.wikipedia.org/wiki/File:AFMimageRoughGlass20x20.JPG







































