Bunyi juga sanggup dipantulkan menuju dinding pemantul. Prinsip dalam perambatan dan pemantulan bunyi diterapkan dalam alat yang dipakai untuk mengukur kedalaman laut. Selain itu, prinsip ini juga dipakai untuk mengukur jarak antara dua kawasan yang mempunyai tebing/dinding pemantul. Pada kesempatan kali ini aku akan membahas mengenai rumus pemantulan bunyi beserta pola soal pemantulan bunyi. Untuk lebih jelasnya sanggup anda simak di bawah ini.
Rumus Pemantulan Bunyi Beserta Contoh Soalnya
Pemantulan bunyi sanggup bermanfaat dalam kehiduoan sehari hari ialah untuk memilih jarak keretakan logam yang terdapat pada mesin atau pipa, untuk memilih kesehatan dan jenis kelamin pada bayi memakai gelombang ultrasonik pada alat USG, dan untuk mengukur dalamnya maritim melalui gelombang sonar. Dibawah ini terdapat rumus pemantulan bunyi untuk mengetahui jarak atau kedalaman dari sumber bunyi menuju bendanya.
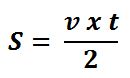
Keterangan Rumus Pemantulan Bunyi di atas:
S = jarak sumber bunyi dengan bendanya (m)
v = cepat rambat bunyi melewati medium (m/s)
t = waktu pemantulan (sekon)
Untuk lebih memahami rumus pemantulan bunyi di atas, aku akan memperlihatkan beberapa pola soal pemantulan bunyi. Berikut pola soal pemantulan bunyi :
1. Sebuah kapal memancarkan gelombang sonar menuju dalam maritim untuk mencari harta karun. Cepat rambat bunyi sonar tersebut sekitar 2.800 m/s. Apabila dalam waktu 4 sekon gelombang tersebut sanggup ditangkap kembali oleh receiver. Maka berapakah kedalaman lautnya?
Pembahasan
Diketahui : v = 2800 m/s; t = 4 sekon
Ditanyakan : S = ?
Jawab:
S = (v x t) / 2
= (2.800 x 4) / 2
= 11.200/2
= 5.600 m = 5,6 km
2. Sebuah kapal maritim sanggup memancarkan sonar dalam waktu 3 detik sesudah gelombangnya kembali diterima dengan kedalaman 3000 meter. Berapakah besar cepat rambat bunyi sonar didalam laut?
Pembahasan
Diketahui : S = 3.000 m; t = 3 sekon
Ditanyakan : v = ?
Jawab:
S = (v x t) / 2
3.000 = (v x 3) / 2
6.000 = v x 3
v = 6.000/3 = 2.000 m/s
Pembahasan
Diketahui : v = 360 m/s; t = 3 sekon
Ditanyakan : S = ?
Jawab:
S = (v x t) / 2
= (360 x 3) / 2
= 1.080/2
= 540 m
4. Ani berteriak didepan dinding pantul dan sanggup mendengarkan suaranya lagi. Apabila Ani bangun didepan dinding dengan jarak 150 meter serta besar cepat rambat bunyi diudara 300 m/s. Berapakan waktu pemantulan bunyi Ani?
Pembahasan
Diketahui : v = 300 m/s; S = 150 m
Ditanyakan : t = ?
Jawab:
S = (v x t) / 2
150 = (300 x t) / 2
300 = 300 x t
t = 300/300
t = 1 sekon
Demikianlah klarifikasi mengenai rumus pemantulan bunyi beserta pola soal pemantulan bunyi. Semoga artikel ini sanggup bermanfaat. Pada dasarnya rumus bunyi ini juga sanggup kita pelajari dengan gampang melalui media buku pegangan siswa yang terdapat di sekolah.
v = cepat rambat bunyi melewati medium (m/s)
t = waktu pemantulan (sekon)
Baca juga : Rumus Percepatan dan Perlambatan Beserta ContohnyaContoh Soal Pemantulan Bunyi
Untuk lebih memahami rumus pemantulan bunyi di atas, aku akan memperlihatkan beberapa pola soal pemantulan bunyi. Berikut pola soal pemantulan bunyi :
1. Sebuah kapal memancarkan gelombang sonar menuju dalam maritim untuk mencari harta karun. Cepat rambat bunyi sonar tersebut sekitar 2.800 m/s. Apabila dalam waktu 4 sekon gelombang tersebut sanggup ditangkap kembali oleh receiver. Maka berapakah kedalaman lautnya?
Pembahasan
Diketahui : v = 2800 m/s; t = 4 sekon
Ditanyakan : S = ?
Jawab:
S = (v x t) / 2
= (2.800 x 4) / 2
= 11.200/2
= 5.600 m = 5,6 km
2. Sebuah kapal maritim sanggup memancarkan sonar dalam waktu 3 detik sesudah gelombangnya kembali diterima dengan kedalaman 3000 meter. Berapakah besar cepat rambat bunyi sonar didalam laut?
Pembahasan
Diketahui : S = 3.000 m; t = 3 sekon
Ditanyakan : v = ?
Jawab:
S = (v x t) / 2
3.000 = (v x 3) / 2
6.000 = v x 3
v = 6.000/3 = 2.000 m/s
Baca juga : Hubungan Antara Gaya dan Gerak Beserta Penjelasan3. Ketika Riko sedang mendaki gunung ia berteriak didepan tebing. Kemudian ia mendengar suaranya kembali dalam waktu 3 detik. Berapakah jarak antara Riko dengan tebing tersebut? (Jika cepat rambat bunyi yang berada diudara sekitar 360 m/s)
Pembahasan
Diketahui : v = 360 m/s; t = 3 sekon
Ditanyakan : S = ?
Jawab:
S = (v x t) / 2
= (360 x 3) / 2
= 1.080/2
= 540 m
4. Ani berteriak didepan dinding pantul dan sanggup mendengarkan suaranya lagi. Apabila Ani bangun didepan dinding dengan jarak 150 meter serta besar cepat rambat bunyi diudara 300 m/s. Berapakan waktu pemantulan bunyi Ani?
Pembahasan
Diketahui : v = 300 m/s; S = 150 m
Ditanyakan : t = ?
Jawab:
S = (v x t) / 2
150 = (300 x t) / 2
300 = 300 x t
t = 300/300
t = 1 sekon
Demikianlah klarifikasi mengenai rumus pemantulan bunyi beserta pola soal pemantulan bunyi. Semoga artikel ini sanggup bermanfaat. Pada dasarnya rumus bunyi ini juga sanggup kita pelajari dengan gampang melalui media buku pegangan siswa yang terdapat di sekolah.

